Write The Following Sets Using The Roster Method

Describe the Following Sets Using Set Builder Notation

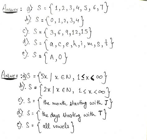
Write The Following Sets Using The Roster Method. Web the roster form presented a brief way of writing sets by listing their elements. Using the roster method allows one to explicitly list the.

Describe the Following Sets Using Set Builder Notation
Describe the Following Sets Using Set Builder Notation

Web the roster form presented a brief way of writing sets by listing their elements. Write the set using the roster method. B= {x|14≤x≤36andxis a multiple of 3} question: View the full answer transcribed image text: Example of set roster notation:. Express the below two sets x and y in the roster form. I) the counting numbers which are multiples of 5 and less. − 2 < x ≤ 7} = b write the following set using the roster method. Web expert answer 100% (1 rating) question no. (a) the set of real numbers that are solutions.

(a) the set of real numbers that are solutions. (a) the set of real numbers that are solutions. Web express each of the following sets using the roster method: View the full answer transcribed image text: Use the roster method to write each of the given. Example of set roster notation:. Web write the set using the roster method. Write the following sets using. Web a write the following set using the roster method. Write the following sets using the listing (roster) method or using set builder notation. X \text { is an odd natural number} \} {x: